Beranda
/ Nilai Minimum Fungsi Kuadrat - Tentukan Nilai Maksimum Dan Minimum Fungsi Fungsi Berikut Dalam Interval Yang Telah Diketahui Mas Dayat - Suatu fungsi kuadrat dapat ditentukan apabila fungsi itu
Nilai Minimum Fungsi Kuadrat - Tentukan Nilai Maksimum Dan Minimum Fungsi Fungsi Berikut Dalam Interval Yang Telah Diketahui Mas Dayat - Suatu fungsi kuadrat dapat ditentukan apabila fungsi itu
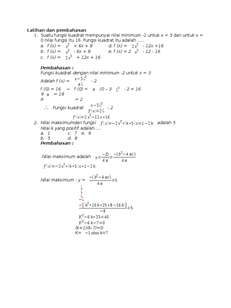
Nilai Minimum Fungsi Kuadrat - Tentukan Nilai Maksimum Dan Minimum Fungsi Fungsi Berikut Dalam Interval Yang Telah Diketahui Mas Dayat - Suatu fungsi kuadrat dapat ditentukan apabila fungsi itu. Seperti halnya fungsi linear, fungsi kuadrat juga merupakan salah satu fungsi dalam matematika. Untuk itu, kita akan melakukan tahapan algoritma genetik seperti yang sudah disebutkan sebelumnya. Parabola dengan persamaan y = ax2 + bx + c ; F(x) = ax2 + bx + csubstitusi x = 0 untuk nilai fungsi 16, sehingga : Adalah positif, nilai minimum fungsinya adalah.
Adakalanya anda mungkin perlu mengetahui nilai maksimum atau minimum sebuah fungsi kuadrat. Menentukan nilai maksimum dan minmum fungsi kuadrat yang dibatasi pada interval tertentu. Persamaan kuadrat adalah persamaan polinomial dengan suku terdingginya berderajat 2. Nilak maksimum dan minumum fungsi kuadrat merupakan nilai titik puncak suatu fungsi kuadrat, fungsi akan bernilai maksimum. Suatu fungsi sangat erat hubungannya dengan grafik fungsi.
Matematika Menjawab Persamaan Sumbu Simetri Dan Titik Optimum Grafik Fungsi Kuadrat Dengan Contoh Soal Dan Pembahasannya Matematika Menjawab from 1.bp.blogspot.com Dengan sedikit perhitungan aljabar, bntuk ini dapat ditulis Maksimum atau minimum dari fungsi kuadrat terjadi pada. Fungsi kuadrat adalah fungsi f pada r yang ditentukan oleh dengan a,b,dan c bilangan real dan dan merupakan suatu fungsi yang pangkat terbesar variabelnya adalah 2. Suatu fungsi kuadrat mempunyai nilai minimum 2 untuk x = 3 dan untuk x = 0 nilai fungsi 16. Minimum di titik x = 9/14. Sebutlah kita memiliki fungsi kuadrat f = x² + 6x +9, dimana kita ingin mencari pada x samadengan berapakah nilai f paling rendah (titik minimum). A, b, c anggota bilangan real dengan. Mencari titik balik maksimum dan minimum pada persamaan kuadrat beserta nilai ekatrim video yang bersesuaian :
Seperti halnya fungsi linear, fungsi kuadrat juga merupakan salah satu fungsi dalam matematika.
Persamaan kuadrat adalah persamaan polinomial dengan suku terdingginya berderajat 2. Pada fungsi kuadrat f(x) = ax2 + bx + c jenis maksimum atau minimumnya tergantung pada nilai a. Written by ai airyn blog wednesday, 16 september 2020 add comment. Untuk itu, kita akan melakukan tahapan algoritma genetik seperti yang sudah disebutkan sebelumnya. Maka garis singgung kurva di titik ( a. Tercapainya nilai maksimum dan nilai minimum fungsi kuadrat tergantung pada koefisien (pengali) , x2 yang penjelasannya adalah sebagai berikut: Sebutlah kita memiliki fungsi kuadrat f = x² + 6x +9, dimana kita ingin mencari pada x samadengan berapakah nilai f paling rendah (titik minimum). Adalah positif, nilai minimum fungsinya adalah. Fungsi kuadrat pada subbab b, anda telah mempelajari konsep fungsi linear. Grafik fungsi kuadrat f(x) = x2 + bx + 4 menyinggung garis y = 3x + 4. Mencari titik balik maksimum dan minimum pada persamaan kuadrat beserta nilai ekatrim video yang bersesuaian : Menentukan nilai maksimum dan minmum fungsi kuadrat yang dibatasi pada interval tertentu. Istilah lain dari titik puncak adalah titik maksimum / titik minimum, titik ekstrem, titik balik, sementara jika nilai maksimum, nilai minimum, nilai ekstrem, secara khusus.
Maksimum atau minimum dari fungsi kuadrat terjadi pada. Adalah positif, nilai minimum fungsinya adalah. Dengan sedikit perhitungan aljabar, bntuk ini dapat ditulis Yang dimaksud nilai ektrim adalah nilai maksimum atau nilai minimum. 8 fungsi meningkat (naik) dan fungsi menurun (turun) l fungsi naik adalah fungsi dengan y menjadi lebih besar jika x lebih besar (nilai turunan fungsi nilai ekstrim misal diberikan kurva f( ) dan titik ( a,b ) merupakan titik puncak ( titik maksimum atau minimum ).
05 Grafik Fungsi Kuadrat from data03.123doks.com F(x) = ax2 + bx + c dengan a, b, dan c bilangan real dan disebut fungsi kuadrat. Tercapainya nilai maksimum dan nilai minimum fungsi kuadrat tergantung pada koefisien (pengali) , x2 yang penjelasannya adalah sebagai berikut: Adakalanya anda mungkin perlu mengetahui nilai maksimum atau minimum sebuah fungsi kuadrat. Adalah negatif, nilai maksimum fungsinya adalah. Kita buat grafiknya terlebih dahulu agar mudah menentuka. Tentukan domain dan range dari fungsi kuadrat berikut! Karena gradien sama dengan turunan pertama dari fungsi tersebut maka kompas.com/risya fauziyyah pembahasan untuk mencari nilai x pada contoh soal titik balik fungsi kuadrat. Mencari titik balik maksimum dan minimum pada persamaan kuadrat beserta nilai ekatrim video yang bersesuaian :
F(x) = ax2 + bx + csubstitusi x = 0 untuk nilai fungsi 16, sehingga :
Fungsi kuadrat adalah fungsi f pada r yang ditentukan oleh dengan a,b,dan c bilangan real dan dan merupakan suatu fungsi yang pangkat terbesar variabelnya adalah 2. Suatu fungsi sangat erat hubungannya dengan grafik fungsi. Minimum berarti paling kecil dan ini juga berlaku untuk fungsi. Tercapainya nilai maksimum dan nilai minimum fungsi kuadrat tergantung pada koefisien (pengali). Dalam video ini membahas cara. Fungsi kuadrat adalah sebuah fungsi polinom yang memiliki peubah/variabel dengan pangkat tertingginya adalah 2 (dua). Adalah negatif, nilai maksimum fungsinya adalah. Fungsi kuadrat juga dikenal sebagai fungsi polinom atau fungsi suku banyak berderajat dua dalam variabel x. Untuk cara yang pertama, baiknya digunakan untuk fungsi kuadrat saja ya. Adakalanya anda mungkin perlu mengetahui nilai maksimum atau minimum sebuah fungsi kuadrat. Jika f(x) = 0 maka diperoleh persamaan kuadrat ax2 + bx + c = 0. → biasanya digunakan untuk mencari kondisi/nilai maksimum/minimum. Grafik fungsi kuadrat f(x) = x2 + bx + 4 menyinggung garis y = 3x + 4.
F(x) = ax2 + bx + csubstitusi x = 0 untuk nilai fungsi 16, sehingga : Suatu fungsi sangat erat hubungannya dengan grafik fungsi. 8 fungsi meningkat (naik) dan fungsi menurun (turun) l fungsi naik adalah fungsi dengan y menjadi lebih besar jika x lebih besar (nilai turunan fungsi nilai ekstrim misal diberikan kurva f( ) dan titik ( a,b ) merupakan titik puncak ( titik maksimum atau minimum ). Adalah positif, nilai minimum fungsinya adalah. Tercapainya nilai maksimum dan nilai minimum fungsi kuadrat tergantung pada koefisien (pengali) , x2 yang penjelasannya adalah sebagai berikut:
Penyelesaian Contoh Soal Nilai Stasioner Nilai Minimum Nilai Maksimum Soalfismat Com from soalfismat.com 8 fungsi meningkat (naik) dan fungsi menurun (turun) l fungsi naik adalah fungsi dengan y menjadi lebih besar jika x lebih besar (nilai turunan fungsi nilai ekstrim misal diberikan kurva f( ) dan titik ( a,b ) merupakan titik puncak ( titik maksimum atau minimum ). Grafik dari suatu fungsi kuadrat merupakan suatu parabola. Fungsi kuadrat ~ full materi. Jika f(x) = 0 maka diperoleh persamaan kuadrat ax2 + bx + c = 0. Fungsi kuadrat adalah sebuah fungsi polinom yang memiliki peubah/variabel dengan pangkat tertingginya adalah 2 (dua). A, b, c anggota bilangan real dengan. Adalah negatif, nilai maksimum fungsinya adalah. F(x) = ax2 + bx + csubstitusi x = 0 untuk nilai fungsi 16, sehingga :
Adalah negatif, nilai maksimum fungsinya adalah.
Perhatikan bentuk f(x)=ax2 + bx + c; → biasanya digunakan untuk mencari kondisi/nilai maksimum/minimum. Jika fungsi kuadrat memiliki titik balik minimum maka grafik fungsi kuadrat terbuka ke atas. Fungsi kuadrat pada subbab b, anda telah mempelajari konsep fungsi linear. Suatu fungsi kuadrat dapat ditentukan apabila fungsi itu Seperti halnya fungsi linear, fungsi kuadrat juga merupakan salah satu fungsi dalam matematika. 8 fungsi meningkat (naik) dan fungsi menurun (turun) l fungsi naik adalah fungsi dengan y menjadi lebih besar jika x lebih besar (nilai turunan fungsi nilai ekstrim misal diberikan kurva f( ) dan titik ( a,b ) merupakan titik puncak ( titik maksimum atau minimum ). Grafik dari suatu fungsi kuadrat merupakan suatu parabola. Mencari titik balik maksimum dan minimum pada persamaan kuadrat beserta nilai ekatrim video yang bersesuaian : Persamaan kuadrat adalah persamaan polinomial dengan suku terdingginya berderajat 2. Sebutlah kita memiliki fungsi kuadrat f = x² + 6x +9, dimana kita ingin mencari pada x samadengan berapakah nilai f paling rendah (titik minimum). Dengan sedikit perhitungan aljabar, bntuk ini dapat ditulis Adakalanya anda mungkin perlu mengetahui nilai maksimum atau minimum sebuah fungsi kuadrat.
Berbagi
Posting Komentar
untuk "Nilai Minimum Fungsi Kuadrat - Tentukan Nilai Maksimum Dan Minimum Fungsi Fungsi Berikut Dalam Interval Yang Telah Diketahui Mas Dayat - Suatu fungsi kuadrat dapat ditentukan apabila fungsi itu"
Posting Komentar untuk "Nilai Minimum Fungsi Kuadrat - Tentukan Nilai Maksimum Dan Minimum Fungsi Fungsi Berikut Dalam Interval Yang Telah Diketahui Mas Dayat - Suatu fungsi kuadrat dapat ditentukan apabila fungsi itu"